| CAS NO: | 34540-22-2 |
| 包装 | 价格(元) |
| 10mM (in 1mL DMSO) | 电议 |
| 20mg | 电议 |
| Cas No. | 34540-22-2 |
| 别名 | 羟基积雪草苷; Asiaticoside A |
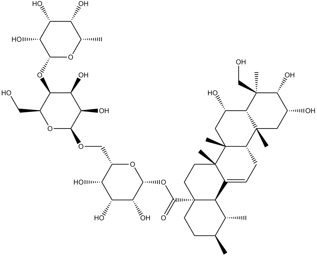
| 化学名 | Madecassoside |
| Canonical SMILES | CC1CCC2(CCC3(C(=CCC4C3(CC(C5C4(CC(C(C5(C)CO)O)O)C)O)C)C2C1C)C)C(=O)OC6C(C(C(C(O6)COC7C(C(C(C(O7)CO)OC8C(C(C(C(O8)C)O)O)O)O)O)O)O)O |
| 分子式 | C48H78O20 |
| 分子量 | 975.12 |
| 溶解度 | ≥ 47.6mg/mL in DMSO |
| 储存条件 | Store at -20℃ |
| General tips | For obtaining a higher solubility , please warm the tube at 37 ℃ and shake it in the ultrasonic bath for a while. |
| Shipping Condition | Evaluation sample solution : ship with blue ice All other available size: ship with RT , or blue ice upon request |
| 产品描述 | Madecassoside is a pentacyclic triterpene isolated from Centella asitica (L.), as an anti-inflammatory, anti-oxidative activities and anti-aging agent. [1]In vitro: Madecassoside exhibit significant anti-proliferative and anti-invasive effect in HGF-induced HepG2 and SMMC-77 cells. Madecassoside inhibit the HGF-induced activation of cMET-PKC-ERK1/2-COX-2-PGE2cascade. [1]In vivo: Administration of madecassoside, p.o. , exhibit a direct anti-PF effect in mice. Madecassoside increase the expression of hepatocyte growth factor (HGF) in colon tissues, and HGF receptor antagonists attenuated its anti-PF effect. madecassoside in mice are not mediated by its metabolites or itself after absorption into blood. Instead, madecassoside increases the activity of PPAR-γ, which subsequently increases HGF expression in colonic epithelial cells. [2] The reference for administration is 12 mg/kg. [3] References: |
