[登录] [免费注册]
试剂仪器网
位置:首页 > 产品库 > Loganin
立即咨询
咨询类型:
     
*姓名:
*电话:
*单位:
Email:
*留言内容:
请详细说明您的需求。
*验证码:
 
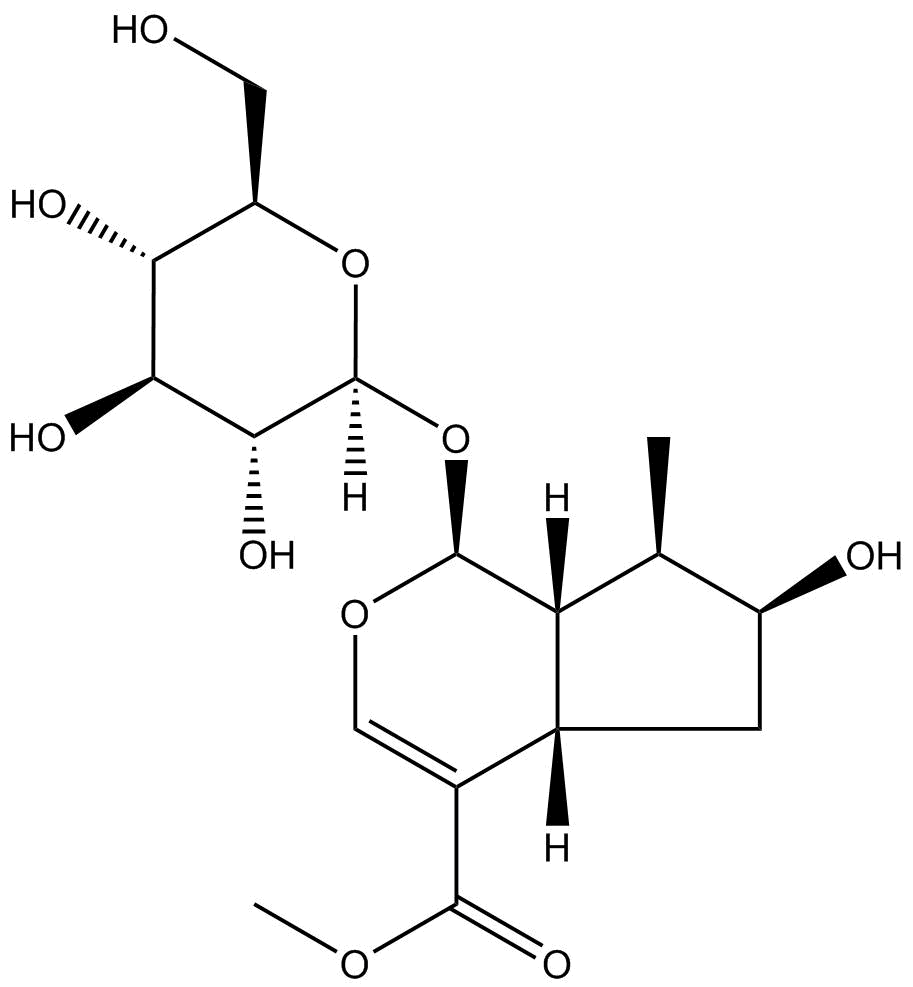
Loganin
本产品不向个人销售,仅用作科学研究,不用于任何人体实验及非科研性质的动物实验。
Loganin图片
CAS NO:18524-94-2
包装:20mg
市场价:900元

产品介绍

化学性质

StorageStore at -20°C
M.Wt390.38
Cas No.18524-94-2
FormulaC17H26O10
SynonymsMethyl 6-hydroxy-7-methyl-1-[3,4,5-trihydroxy-6-(hydroxymethyl)oxan-2-yl]oxy-1,4a,5,6,7,7a-hexahydrocyclopenta[d]pyran-4-carboxylate
Solubilityinsoluble in EtOH; ≥25 mg/mL in H2O; ≥50 mg/mL in DMSO
Chemical Namemethyl (1S,4aS,6S,7R,7aS)-6-hydroxy-7-methyl-1-[(2S,3R,4S,5S,6R)-3,4,5-trihydroxy-6-(hydroxymethyl)oxan-2-yl]oxy-1,4a,5,6,7,7a-hexahydrocyclopenta[c]pyran-4-carboxylate
Canonical SMILESCC1C(CC2C1C(OC=C2C(=O)OC)OC3C(C(C(C(O3)CO)O)O)O)O
运输条件蓝冰运输或根据您的需求运输。
一般建议为了使其更好的溶解,请用37℃加热试管并在超声波水浴中震动片刻。不同厂家不同批次产品溶解度各有差异,仅做参考。若实验所需浓度过大至产品溶解极限,请添加助溶剂助溶或自行调整浓度。溶液形式一般不宜长期储存,请尽快用完。

资料参考

Loganin,an iridoid glucosides,has been reported to be an inhibitor of Cox-1 and also noted to suppress TNF-α formation. This compound also has displayed potent free-radical-scavenging activity and inhibitory effects on melanogenesis. Research has shown