[登录] [免费注册]
试剂仪器网
位置:首页 > 产品库 > LX1606
立即咨询
咨询类型:
     
*姓名:
*电话:
*单位:
Email:
*留言内容:
请详细说明您的需求。
*验证码:
 
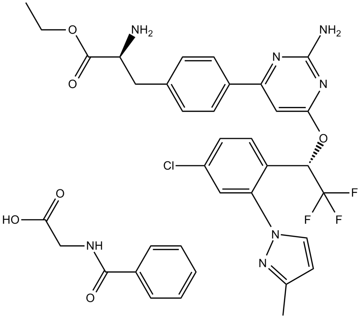
LX1606
本产品不向个人销售,仅用作科学研究,不用于任何人体实验及非科研性质的动物实验。
LX1606图片
CAS NO:1137608-69-5
包装与价格:
包装价格(元)
5mg电议
10mg电议
50mg电议

产品介绍

化学性质

StorageStore at -20°C
M.Wt754.17
Cas No.1137608-69-5
FormulaC36H35ClF3N7O6
SynonymsLX1606 Hippurate; Telotristat etiprate; LX 1606; LX-1606
SolubilitySoluble in DMSO
Chemical Name2-benzamidoacetic acid;ethyl (2S)-2-amino-3-[4-[2-amino-6-[(1R)-1-[4-chloro-2-(3-methylpyrazol-1-yl)phenyl]-2,2,2-trifluoroethoxy]pyrimidin-4-yl]phenyl]propanoate
Canonical SMILESCCOC(=O)C(CC1=CC=C(C=C1)C2=CC(=NC(=N2)N)OC(C3=C(C=C(C=C3)Cl)N4C=CC(=N4)C)C(F)(F)F)N.C1=CC=C(C=C1)C(=O)NCC(=O)O
运输条件蓝冰运输或根据您的需求运输。
一般建议为了使其更好的溶解,请用37℃加热试管并在超声波水浴中震动片刻。不同厂家不同批次产品溶解度各有差异,仅做参考。若实验所需浓度过大至产品溶解极限,请添加助溶剂助溶或自行调整浓度。溶液形式一般不宜长期储存,请尽快用完。

资料参考

LX1606 (LX 1606, LX-1606) is an orally bioavailable, small-molecule, tryptophan hydroxylase (TPH) inhibitor with potential antiserotonergic activity. LX1606 (LX 1606, LX-1606) is useful for Neurological Diseas.