[
登录
] [
免费注册
]
设为首页
手机站
m.cnreagent.com
扫一扫,直接在手机上打开
客户服务
会员服务
推广服务
关键词服务
成功案例
联系我们
网站导航
产品
企业
资讯
字典
首页
仪器设备
试剂耗材
机械设备
化工原料
试剂与耗材
通用试剂
标准品
检测试剂
试剂盒
生物试剂
核酸
细胞
抗体
蛋白
基因与染色体
纳米材料
材料与耗材
仪器
分析仪器
实验室常用设备
光学仪器及设备
物性测试仪器及设备
测量/计量仪器
环境监测仪器
生命科学仪器/设备
行业专用仪器
工业在线及过程控制仪器
仪器设备制造
配件、耗材与服务
传感器
工业系统
连接技术
工业电源
IO-Link
安全技术
机械设备
泵阀
仪器仪表
成型设备
传质设备
制冷设备
压力容器
成套设备
真空设备
制药设备
包装设备
环保设备
储运设备
分离设备
传热设备
干燥机械
混合设备
输送设备
辅助设备
粉碎设备
反应设备
塑料专用设备
涂料专用设备
橡胶专用设备
其它设备
原料
原料、中间体
香精香料
农用化学品
医药与生物化工
气体
日化原料
功能材料
参展厂商
Vao商城
资讯
专题
资料
会展
品牌
采购
发布求购
位置:
首页
>
产品库
>
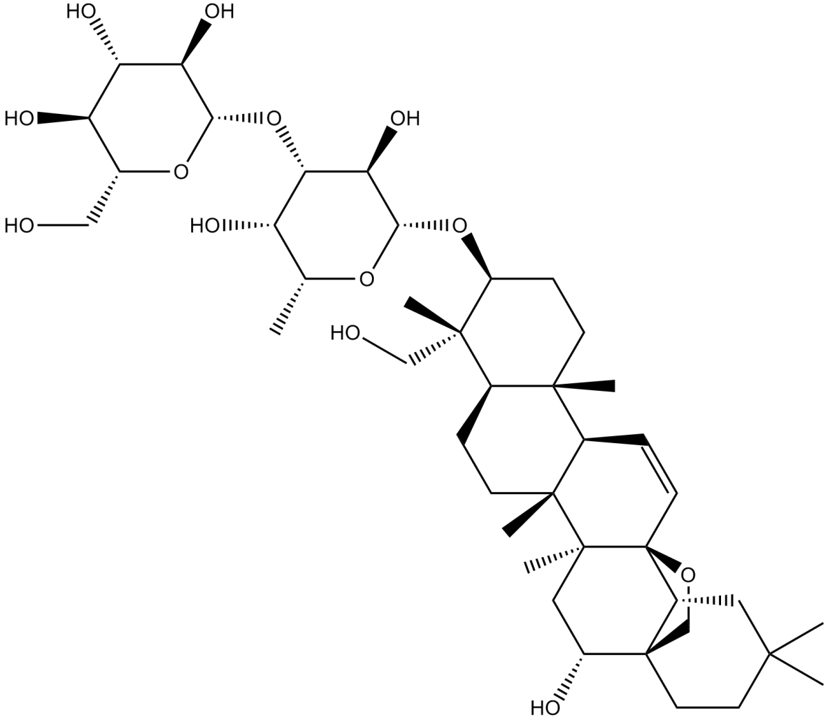
Saikosaponin D
立即咨询
咨询类型:
采购
售后
*
姓名:
*
电话:
*
单位:
Email:
*
留言内容:
请详细说明您的需求。
我对您的Saikosaponin D产品感兴趣,请发具体的信息及报价,谢谢!
*
验证码:
Saikosaponin D
本产品不向个人销售,仅用作科学研究,不用于任何人体实验及非科研性质的动物实验。
CAS NO:
20874-52-6
包装:
20mg
市场价:
1600元
产品介绍
化学性质
Storage
Store at -20°C
M.Wt
780.98
Cas No.
20874-52-6
Formula
C
42
H
68
O
13
运输条件
蓝冰运输或根据您的需求运输。
一般建议
为了使其更好的溶解,请用37℃加热试管并在超声波水浴中震动片刻。不同厂家不同批次产品溶解度各有差异,仅做参考。若实验所需浓度过大至产品溶解极限,请添加助溶剂助溶或自行调整浓度。溶液形式一般不宜长期储存,请尽快用完。
资料参考
Extracted from Umbelliferae Bupleurum;Store the product in sealed,cool and dry condition