[登录] [免费注册]
试剂仪器网
位置:首页 > 产品库 > W146(trifluoroacetate salt)
立即咨询
咨询类型:
     
*姓名:
*电话:
*单位:
Email:
*留言内容:
请详细说明您的需求。
*验证码:
 
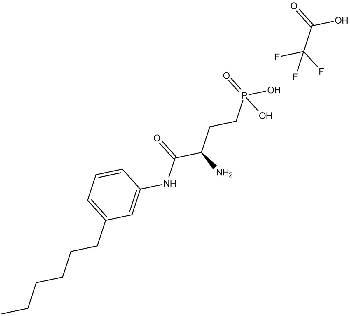
W146(trifluoroacetate salt)
本产品不向个人销售,仅用作科学研究,不用于任何人体实验及非科研性质的动物实验。
W146(trifluoroacetate salt)图片
CAS NO:909725-62-8
包装与价格:
包装价格(元)
500ug电议
1mg电议
5mg电议
10mg电议

产品介绍

化学性质

Physical AppearanceA crystalline solid
StorageStore at -20°C
M.Wt456.39
Cas No.909725-62-8
FormulaC18H28F3N2O6P
Solubility≤0.1mg/ml in methanol
Chemical Name2,2,2-trifluoroacetic acid compound with (R)-(3-amino-4-((3-hexylphenyl)amino)-4-oxobutyl)phosphonic acid (1:1)
Canonical SMILESCCCCCCC1=CC=CC(NC([C@@H](CCP(O)(O)=O)N)=O)=C1.FC(C(O)=O)(F)F
运输条件蓝冰运输或根据您的需求运输。
一般建议为了使其更好的溶解,请用37℃加热试管并在超声波水浴中震动片刻。不同厂家不同批次产品溶解度各有差异,仅做参考。若实验所需浓度过大至产品溶解极限,请添加助溶剂助溶或自行调整浓度。溶液形式一般不宜长期储存,请尽快用完。