| 规格: | 98% |
| 分子量: | 504.64 |
| 包装 | 价格(元) |
| 100mg | 电议 |
| 1g | 电议 |
Background:
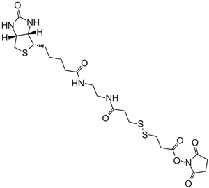
NHS-SS-biotin (Succinimidyl-2-(biotinamido)-ethyl-1,3-dithiopropionate) is a long-chain cleavable amine-reactive biotinylation reagent that has a spacer arm of 24.3 A in length due to the existence of a cross-bridge within its chemical structure. The long spacer arm creates an increased length between a covalently modified molecule and the bicyclic biotin rings that greatly enhances the ability of the molecule to bind to avidin or streptavidin probes. The NHS ester group of NHS-SS-biotin reacts with the amine groups of proteins and other molecule forming an amide bond and releasing of sulfo-NHS. NHS-SS-Biotin is a water-insoluble molecule that requires the dissolution of organic solvents prior to be added to aqueous reactions.
参考文献
[1].Bioconjugate Techniques , 2nd ed. By Greg T.Hermanson ?(Pierce Biotechnology, Thermo Fisher Scientific, Rockford, IL). ?Academic Press ?(an imprint of Elsevier): ?London, Amsterdam, Burlington, San Diego . 2008. ISBN 978-0-12-370501-3.
Protocol:
| Biotinylation method [1]: | |
Sample | hippocampal neurons |
Preparation method | Soluble in DMSO or DMF. |
Reaction Conditions | 1.5 mg/ml, 4 ℃ for 1 h |
Applications | Neurons were washed with the arti?cial cerebrospinal ?uid(ACSF) at 37 ℃, and incubated with 1.5 ml of 1.5 mg/ml NHS-SS-biotin with gentle shaking at 4 ℃ for 1 h. After washing, neurons were switched to the neuronal culture medium and incubated at 37 ℃. At indicated times of incubation, neurons were cooled to 4 ℃ and un-endocytosed surface biotin was cleaved by incubating in the glutathione cleavage bu?er (50 mM glutathione, 75 mM NaCl, 10 mM EDTA, 1% BSA, and 0.075 N NaOH). Neurons were lysed in the modi?ed RIPA bu?er (50 mM Tris–HCl, 150 mM NaCl, 1% NP-40, 0.5% sodium deoxylate, 1 mM EDTA, and protease inhibitors). Lysates were cleared by centrifugation at 10,000g for 10 min at 4 ℃ and incubated at 4 ℃ over-night with 70 μl of 50% streptavidin beads. Endocytosis of ErbB proteins was assayed using cleavable biotin. Bead-associated proteins were subjected to Western blot analysis. |
参考文献: [1]. Yu Liu, Yan-Mei Tao, Ran-Sook Woo, Wen-Cheng Xiong, Lin Mei. Stimulated ErbB4 internalization is necessary for neuregulin signaling in neurons. Biochemical and Biophysical Research Communications 354 (2007) 505–510. | |
