| CAS NO: | 58337-38-5 |
| 包装: | 1mg |
| 市场价: | 1328元 |
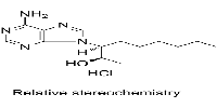
| 英文别名 | (2R,3S)-3-(6-aminopurin-9-yl)nonan-2-ol;hydrochloride |
| CAS号 | 58337-38-5 |
| SMILES | CCCCCC[C@@H]([C@@H](C)O)N1C=NC2=C(N=CN=C21)N.Cl |
| Inchi | InChI=1S/C14H23N5O.ClH/c1-3-4-5-6-7-11(10(2)20)19-9-18-12-13(15)16-8-17-14(12)19;/h8-11,20H,3-7H2,1-2H3,(H2,15,16,17);1H/t10-,11+;/m1./s1 |
| InchiKey | VVDXNJRUNJMYOZ-DHXVBOOMSA-N |
| 分子式 Formula | C14H23N5O.xHCl |
| 分子量 Molecular Weight | 277 |
| 储藏条件 Storage conditions | storage at -4℃ (1-2weeks), longer storage period at -20℃ (1-2years) |
