[登录] [免费注册]
试剂仪器网
位置:首页 > 试剂及耗材 > 其它
PicoPLEX™ WGA Kit–单细胞扩增试剂盒
PicoPLEX™ WGA Kit–单细胞扩增试剂盒图片
型号:R30050
品牌:Rubicon
参考价格:¥12000.0


产品介绍

hole Genome Amplification for Library Construction of Single Cells

picoplex

“SurePlex™ [PicoPLEX]  represents a major step forward in amplification technology…we selected SurePLEX due to its rapid protocol, highly representative amplification,and low allele dropout when compared to other amplification methods.”

–Nick Haan, founder and CEO of BlueGnome, an Illumina Company

概述

有一个细胞扩增DNA 产生一个高度可再生的文库现在成为了可能!PicoPLEX WGA kit 用于设计优化用于单拷贝基因组DNA的扩增。简单易用的单管操作流程减少了手动操作的失误,得到结果的时间得到了大幅度的优化,并且降低了背景。PicoPLEX WGA kit 同样可以被用于分离好的基因组DNA,范围为15pg到50ng之间。可以应用于Array CGH和q-PCR.

*Protected by US Patent 8,206,913 and EU pending applications

PicoPLEX WGA kits 被IVF行业领导者BlueGnome公司信赖并使用,在全世界范围内用于PGS/PGD项目。

  • 单个细胞起始的扩增反应(或<15pg DNA)

  • 卓越的等位基因重复性

  • 简单易用的操作流程

  • 准确可靠的结果,不论是芯片还是PCR

流程

picoplex_wga_tube_rev2

单细胞扩增的效果

流式分选癌症细胞采用PicoPLEX WGA kit进行扩增,以同一比率扩增,并且结果一致,可预期的产量。绿色为不含细胞的样本,显示出非常低的背景值。

picoplexwga_chart_slider

可重复的CNV结果

单胚叶细胞活检样本使用PicoPLEX WGA kit 进行扩增,标记,杂交到BlueGnome的24Sure芯片上。图中清晰的指出了CNVs。2011年,ESHRE进行临床试验确定了PicoPLEX技术进行核型分析的准确性。

picoplex_pgaarray_slider

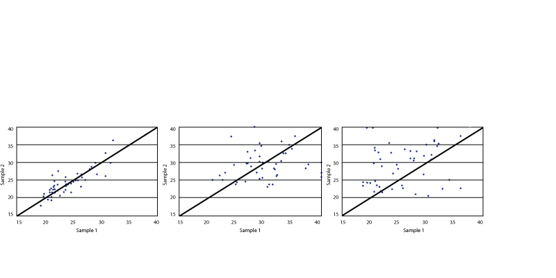
位点特异性q-PCR用于定量48位点在独立的单细胞文库中。两个单独的样本采用PicoPLEX WGA kit进行扩增,下图比较了两个结果,GenomePLEX和GenomiPhi使用10pgDNA。超过90%的结果可验证,表现出了非常高的重复性和可靠性。从左到有分别为:PicoPLEX、GenomePLEX和GenomiPhi。

picoplex_locuschart_slider

 

储存温度:-20°C

保质期:12个月

建库起始量:

  • 动物细胞(1-10个;e.g. 胚叶细胞,极体,滋养层细胞,羊水细胞,CTCs,培养细胞。)

  • 1000-10000个细菌细胞


用户评论
产品评分
目前评分共0人
产品质量
售后服务
易用性
性价比
产品评论
已有0条评论
可以输入500字 
暂无评论!
武汉锦奥生物科技有限公司
电话: 点击&查看
联系人: 马培培
地址: 湖北省武汉市洪山区高薪大道666号光谷生物城
相关产品:
猜您感兴趣
换一批
FFPE样本DNA提取试剂盒(磁珠法)
FFPE样本核酸提取试剂盒(磁珠法)
血浆游离核酸提取试剂盒(磁珠法)
dsDNA高灵敏检测试剂盒
游离核酸样本保存管
来访登记
关闭
请留下您的联系方式,登记完成即可查看电话与供应商联系,或等候供应商联系您。
留言类型:
     
*姓名:
*电话:
*单位:
Email:
*留言内容:
请说明需求数量,型号规格以及纯度含量等要求。
*验证码: